Teaching quantum mechanics!
The nextnano software is an excellent tool for studying fundamental examples in Quantum Mechanics typically found in textbooks, making it an ideal resource for classroom instruction.

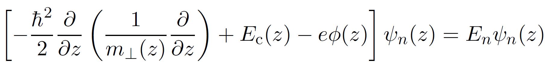
A preliminary handout containing some nextnano examples is available here.
Empirical tight-binding (sp3s*) band structure of GaAs, GaP, AlAs, InAs, C (diamond) and Si
What you can learn:
Dispersion in infinite superlattices: Minibands (Kronig-Penney model)
What you can learn:
What you can learn:
What you can learn:
What you can learn:
GaAs pn junction (forward bias)
What you can learn:
Optical interband transitions in a quantum well - Matrix elements and selection rules
What you can learn:
Hole energy levels of an "artificial atom" - Spherical Si Quantum Dot (6-band k.p)
What you can learn: